首页 | 新闻中心 | 考试指导 | 试题资源 | 下载中心 | 个人博客 | 图书中心雁过留声托业考试 | 考研专区 | 司法考试 | 公务员考试 | 法硕专区 | 中高考专区

 
您现在的位置: 中国1考网 >> 高考专区 >> 复习备考 >> 数学 >> 正文  
 
 
 
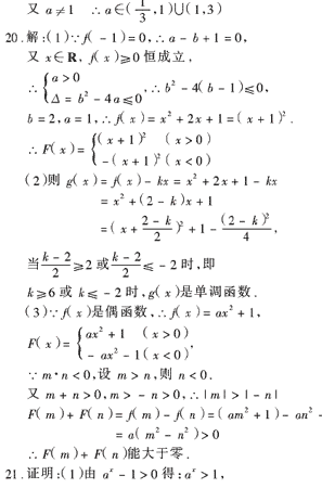
名校数学理单元专题全方位解析(20)
作者:新浪考试 文章来源:SINA 点击数: 更新时间:2008-8-27 3:10:00

  

名校数学理单元专题全方位解析(20)

  

名校数学理单元专题全方位解析(20)

  

名校数学理单元专题全方位解析(20)

  

名校数学理单元专题全方位解析(20)

  • 上一个文章:

  • 下一个文章:
  • 特别说明:由于各方面情况的不断调整与变化,中国一考网所提供的所有考试信息仅供参考,敬请考生以权威部门公布的正式信息为准。

    网友评论(评论只代表网友观点,与本站立场无关)
    发表评论
    姓 名: *(必填项) ·注册用户·
    Email: QQ号:
    评 分: 1分 2分 3分 4分 5分
    评论
    内容
     
     
    今日推荐
    最新新闻资讯

    台湾考生过司考超5% 执

    08年国家司法考试分数
    普通文章[公务员动态]执著多年成考霸:六成考生要当“12-03
    普通文章[公务员动态]考生:考国家公务员就像中彩票一12-03
    普通文章[公务员动态]一家之言:该如何看待今年的公务12-03
    普通文章[公务员动态]千万就业大军遭遇金融危机 考公务12-03
    普通文章[公务员动态]09国家公务员考试开考 10组数字最12-03
    普通文章[公务员动态]80后唱罢90后登台:90后真的不想12-03
    普通文章[公务员动态]揭秘:公务员考试前的“群狼”助12-03
    普通文章[公务员动态]视点:辞掉高薪职业考公务员值不12-03
    普通文章[公务员动态]时评:大学生为何如此热衷于考公12-03
    普通文章[公务员动态]09公务员考生77万余人 人保部副部12-03
    最新复习指导
    普通文章[综合辅导]国家公务员30日笔试专家支招考前12-03
    普通文章[综合辅导]国家公务员考试笔试专家支招考前12-03
    普通文章[综合辅导]09国家公务员冲刺:短期备考有的12-03
    普通文章[综合辅导]提醒:公务员面试与申论备考同步12-03
    普通文章[综合辅导]备考必看:国家公务员考试考前准12-03
    普通文章[综合辅导]公务员考试高分跳板:18天提高2012-03
    普通文章[综合辅导]公务员考场上可以实施的“作案手12-03
    普通文章[综合辅导]国家公考平均考录比78比1 我该怎12-03
    普通文章[综合辅导]09国家公务员考试备考:题贵精不12-03
    普通文章[综合辅导]国家公务员考试竞争更激烈 复习512-03
    最近试题资料
    普通文章[试题资源]08年司法考试四川延期区考试试卷11-21
    普通文章[试题资源]2008年国家司法考试四川灾区延期11-17
    普通文章[试题资源]2008年国家司法考试四川灾区延期11-17
    普通文章[试题资源]2008年国家司法考试四川灾区延期11-17
    普通文章[试题资源]2008年国家司法考试四川灾区延期11-17
    最新增值资源
     
    1考网简介 | About 1kao | 广告服务 | 联系我们 | 版权申明 | 会员注册 | 产品答疑
    Copyright © 2004-2010 www.1kao.net, All Rights Reserved
    公务员考试 MBA论文 考研大纲 中国1考网 版权所有